Contenidos contratados por la marca que se menciona

+info

El desafío de la movilidad para la empresa: ¿cómo calcular el retorno de la inversión?

El desafío de la movilidad para la empresa: ¿cómo calcular el retorno de la inversión?
2 comentarios Facebook Twitter Flipboard E-mail
wbct

Webedia Brand Solutions

Expertos en Branded Content

Cuando hablamos de implantar políticas de movilidad en la empresa y pasamos a pensar en términos económicos, nos encontramos que no tenemos nada claro cómo se calcula el retorno de la inversión en la implantación de técnicas de movilidad en las diferentes áreas.

El cálculo de costes, ahorros estimados y retorno de la inversión generada, requiere un análisis pormenorizado del procedimiento que hemos modificado, los efectos que tiene en los flujos de trabajo establecidos y el cálculo temporal de retorno de la inversión que conseguimos. ¿Cómo podemos analizar todos estos puntos? Y más importante aún ¿son rentables todas las inversiones en movilidad que realizamos en la empresa?

Cómo realizar el cálculo de la rentabilidad de una inversión

Para medir la rentabilidad de una inversión de manera general se usan diferentes fórmulas matemáticas que nos dan unas u otras lecturas. Las más usadas a nivel financiero son la Tasa Interna de Retorno (TIR), el Valor Actual Neto (VAN). Estos cálculos nos indican básicamente el rendimiento financiero de la cantidad invertida en función del flujo de caja que obtenemos por dicha inversión en el tiempo. Estos dos cálculos se complementan con el cálculo del retorno de la inversión.

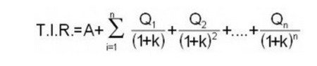
El cálculo de la tasa interna de retorno (TIR)

tasa interna retorno

La TIR mide el rendimiento o la tasa de descuento de una inversión que iguala a través de los futuros flujos de caja netos el VAN (Valor Actual Neto) a cero. A mayor valor que se obtiene del TIR mayor rentabilidad ofrecerá un determinado proyecto. La fórmula para su cálculo es la superior y los parámetros que tenemos que tener en cuenta son los siguientes:

  • A=inversión inicial que realizamos en el activo

  • Q=Flujos de caja por periodos de tiempo. Estos flujos de caja se calculan en función de los ingresos que tenemos o de los ahorros previstos por la implantación de la inversión.

  • K= el tipo de interés que le vamos a pedir al flujo financiero estimado. Este tipo de interés debe ser como mínimo el tipo de interés de la retribución media en fondos propios para determinar si la inversión es rentable o no.

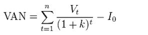
El cálculo del Valor Actual Neto (VAN)

valor actual neto

La fórmula para el cálculo del VAN es la siguiente, donde I0 es la inversión a realizar, V es el flujo de caja del año t, k la tasa de interés con la que estamos comparando y t el número de años de la inversión.

Si hacemos una estimación de los ingresos de nuestra empresa durante cinco años, para que el proyecto sea rentable el VAN tendrá que ser superior a cero, lo que significará que recuperaremos la inversión inicial y tendremos más capital que si lo hubiéramos puesto al tipo de interés fijado en el cálculo.

Para el caso de una inversión en movilidad, lo que tenemos que hacer en todo caso es calcular previamente el ahorro estimado en el tiempo de cualquier mejora o innovación tecnológica que pongamos en marcha y que favorezca las posibilidades de inversión. Por ejemplo, si nosotros establecemos un sistema de call-conference a coste cero y conseguimos evitar 10 viajes anuales con un coste en desplazamientos y hoteles de 300 euros/viaje, de entrada hemos conseguido "ahorrar" 3.000 euros en el año, puesto que esas partidas de gasto ya no son necesarias y mejoramos la productividad en ahorro de tiempo por las personas que tenían que desplazarse y que ya no lo harán sin tener que realizar una inversión previa en el sistema de call-conference. En este caso que inversión es igual a cero euros y tenemos flujos de caja positivos en el tiempo, la rentabilidad siempre es directa.

Inversiones en movilidad que si requieren inversión, ejemplo práctico

El cálculo de retorno de la inversión se complica en el momento que sí tenemos que realizar una inversión previa en sistemas y que tenemos dificultades para evaluar en el beneficio futuro. Tengamos en cuenta que la mayoría de retornos de inversión en movilidad se obtienen por la innovación tecnológica que aplicamos y mejoras en la productividad en la propia empresa.

Por ejemplo, sistemas que favorecen la movilidad son por ejemplo un sistema de facturación en la nube y un tablet que nos permita desplazar la oficina fuera de casa. Aquí, el ahorro lo tenemos en la rapidez que tardamos en hacer una gestión recurrente, como es emitir una factura o un presupuesto desde un terminal móvil a la fijación de de franjas horarias presenciales en la oficina para hacer estas tareas.

El otro ahorro directo que tenemos, se encuentra por ejemplo en la eliminación del papel y costes de impresión que tenemos si nosotros emitimos nuestras facturas en formato tradicional, frente a la emisión de facturas electrónicas que podemos realizar por mail.

Supongamos por ejemplo que yo emito 10 facturas/mes en papel, que tengo que imprimir, mandarlas por correo ordinario y que me lleva un tiempo global de 2 horas/mes todo el proceso y un coste de 3 euros por factura impresa con su envío. Este mero procedimiento administrativo mensual, tiene un coste de 70 euros/mes por lo que cualquier sistema que me simplifique el proceso a una hora mensual para hacer el mismo trabajo y elimine los costes de procesamiento de 3 euros/factura ya nos reporta un ahorro neto de casi 50 euros.

Supongamos que yo hago una inversión anual de 450 euros para establecer un sistema en la nube de facturación y sus dispositivos electrónicos asociados. No es necesario recurrir a las matemáticas financieras descritas en el apartado anterior para comprobar que ahorramos 600 euros al año con el sistema, por lo que obtenemos un beneficio neto anual de 150 euros al descontar la inversión y que a partir del 10 mes en el que hemos implantado el sistema comenzamos a recuperar la inversión realizada.

¿Podríamos invertir 3.000 euros en un sistema de este tipo que se quedará obsoleto a la finalización del 3 año? no, puesto que si lo hacemos, estaremos perdiendo dinero. Es decir, conseguimos mejorar los sistemas pero el coste de la inversión en movilidad y su recuperación es superior al ahorro realizado durante esos 3 años.

Sage te ofrece recursos empresariales para ayudarte a afrontar el futuro con confianza.

En Inspiración para tu negocio:

Imagen | kenteegardin

Comentarios cerrados
Inicio